Предмет: Математика,
автор: yaico123
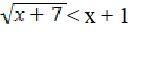
Решить неравенство с корнем
Приложения:
Ответы
Автор ответа:
1
Ответ:
Пошаговое объяснение:
Приложения:
yaico123:
Большое спасибо
Похожие вопросы
Предмет: Английский язык,
автор: Януся2
Предмет: Русский язык,
автор: soccer
Предмет: Русский язык,
автор: dbrykin
Предмет: Математика,
автор: Алисик1113