Предмет: Алгебра,
автор: tomkard
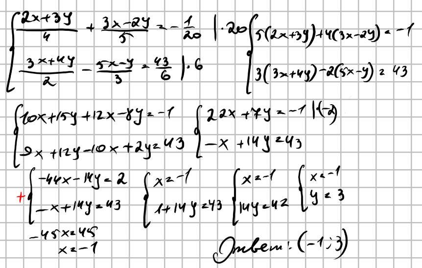
решите пожалуйста систему уравнений
Приложения:
Ответы
Автор ответа:
0
Ответ:
(-1;3)
Объяснение:
Приложения:
Похожие вопросы
Предмет: Українська мова,
автор: Анеt
Предмет: Русский язык,
автор: kote20001
Предмет: Русский язык,
автор: алинр
Предмет: Математика,
автор: 12345678278
Предмет: История,
автор: vika26010