Предмет: Математика,
автор: arturgraviton
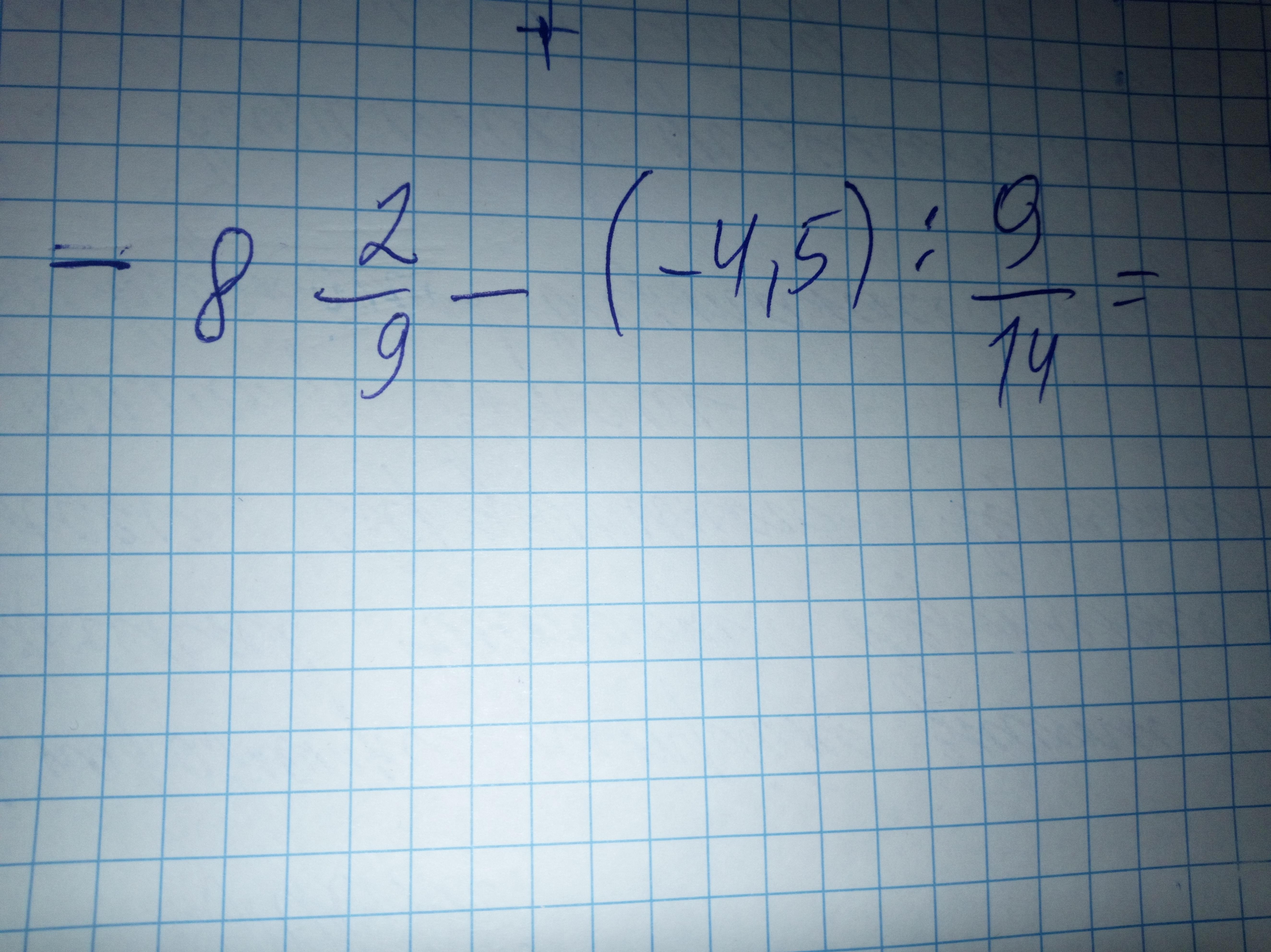
ДАЮ 50баллов!!!Помогите.срочно.
Приложения:
Ответы
Автор ответа:
1
Пошаговое объяснение:
Вот есле надо что то объяснить пиши.
Приложения:
arturgraviton:
спс
я к.р.пишу
мне очень помогло
Поставь как лутший ответ пж
Тебе за это баллы уернут
Вернут*
спасибі за совет.
Незачто
Похожие вопросы
Предмет: Другие предметы,
автор: vladvavilin73
Предмет: Английский язык,
автор: ternovoy02
Предмет: Русский язык,
автор: нгш7ш
Предмет: Математика,
автор: привет7761