Предмет: Математика,
автор: disohep782
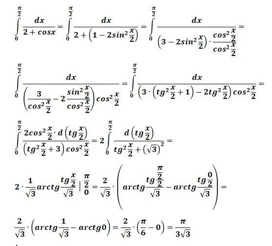
Решите пожалуйста определенный интеграл, если что ответ π/3√3
Приложения:
Ответы
Автор ответа:
0
Ответ:
Пошаговое объяснение: решение в файле
Приложения:
Похожие вопросы
Предмет: Русский язык,
автор: Мерьлем
Предмет: Русский язык,
автор: vladosl2011
Предмет: Русский язык,
автор: irena0627
Предмет: Литература,
автор: Sultanov20