Предмет: Геометрия, автор: az1b12kasp

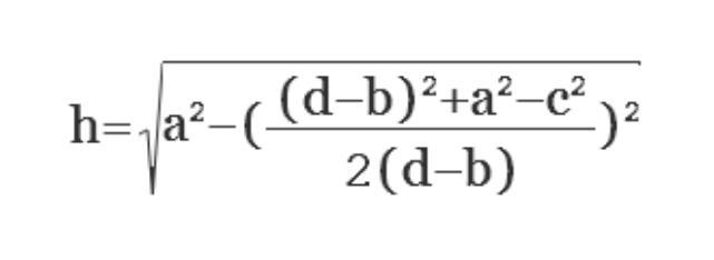
Як знайти висоту трапеції?(всі сторони відомі)

Ответы

Автор ответа: eslivolkmolchitneper
1

Ответ:

Объяснение:

Формула для знаходження висоти трапеції якщо нам відомо всі сторони

Приложения:
Похожие вопросы
Предмет: Геометрия, автор: натали0001
А1.Какая область не пересекается рекой Волгой?
1)Ульяновская 2)Пензенская 3)Самарская 4)Волгоградская
А2.Укажите верную последовательность природных зон при движении с севера на юг
1) смешанный лес – лесостепь – степь – полупустыни
2)степь– полупустыни – пустыни 3) смешанный лес -степь -лесостепь
4) лесостепь -степь – полупустыни
А3.Укажите неверное утверждение
1)главной осью района является Волга 2)район вытянут с севера на юг
3)в районе 2 города-миллионера 4)это самый многонациональный район
А4. Определите субъект района по его описанию
Он находится на севере Поволжья. Население исповедует ислам. Столица- один из старейших городов России. Республика известна добычей и переработкой нефти.
1)Калмыкия 2)Татарстан 3)Башкортостан 4)Марий Эл
А5.В каком из городов района выпускают грузовые автомобили?
1)Тольятти 2)Набережные Челны 3)Энгельс 4)Ульяновск
А6. Укажите ведущее звено топливной промышленности района
1) уголь 2)нефть 3)газ 4)торф