Предмет: Математика, автор: KinoSoft

1. Найдите значение выражения:

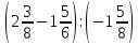
1) (-12,4+8,9) ; 2) .

2. В 6 А классе 36 учеников. Количество учеников 6 Б класса составляет количества учеников 6 А класса и 80% количества учеников 6 В класса. Сколько человек учится в 6 Б классе и сколько – в 6 В?

3. Отметьте на координатной плоскости точки А (-3; 1), В (0; -4) и М (2; -1). Проведите прямую АВ. Через точку М проведите прямую а, параллельную прямой АВ, и прямую b, перпендикулярную прямой АВ.

Приложения:

Ответы

Автор ответа: irina9191
20

Ответ:

Пошаговое объяснение:

Вторая задача с таким условием?? Если да, то ответ во вложении

В 6А классе 36 учеников.Количество учеников 6Б класса составляет 8/9 количества учеников 6А класса и 80% количества учеников

6 В класса. Сколько человек учится в 6 Б классе и сколько в 6В классе?

Приложения:

KinoSoft: Почему я не могу посмотреть остальные изображения?
KinoSoft: Прости что задаю этот вопрос но где второй номер?
KinoSoft: Там 8 девятых прости что забыл оставить
KinoSoft: Во втором номере
irina9191: Обнови страницу, второй номер во вложении
Похожие вопросы
Предмет: Русский язык, автор: Olkovalu
Прочитайте текст и
выполните задания В1 – В5.

(1)В тысяча восемьсот шестом году Василий Михайлович
Головин в чине лейтенанта был назначен командиром шлюпа «Диана». (2) В истории
русского флота не отмечалось другого такого факта, чтобы лейтенанту, моряку невысокого
чина, доверили командование кораблём. (3) «Диана» прежде была обычным
лесовозом. (4) Под руководством В.М.Головина это судно перестроили в небольшой
трёхмачтовый парусный корабль – шлюп. (5) Русское правительство решило
направить шлюп «Диана» в кругосветную экспедицию и перед Головиным поставило
задачу совершить ряд географических открытий в Тихом океане. (6) Экспедиции
было также поручено доставить разные грузы в Охотск.



В1. В предложениях 2-3 найдите слово, являющееся синонимом
к слову РАНЬШЕ. Напишите это слово.


В2. Укажите разряд числительного в 1 предложении.

В3. Из предложений 1-3 выпишите союз(-ы).

В4. Из предложения 4 выпишите грамматическую основу.

В5. Каким членом предложения является выделенное слово:

(2) В истории русского флота не отмечалось другого
такого факта, чтобы лейтенанту, моряку невысокого чина, доверили командование кораблём.


 
Предмет: Другие предметы, автор: 20051008