Предмет: Математика,
автор: KNA07
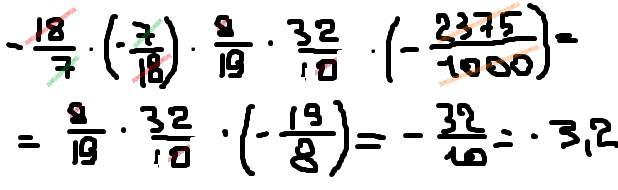
Найдите значение выражения, выбрав наиболее удобный порядок вычислений
Приложения:
Ответы
Автор ответа:
1
см фото......................................
Приложения:
lakOR555:
++
Похожие вопросы
Предмет: Английский язык,
автор: мяу073
Предмет: Русский язык,
автор: Alinòchká2696
Предмет: Українська мова,
автор: сонюлечка
Предмет: Математика,
автор: Nata17k