Предмет: Математика,
автор: YokerGamer
помогите пж
СРОЧНО!!!!
Приложения:
Ответы
Автор ответа:
1
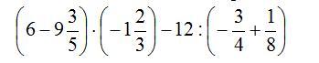
Ответ:126/5=25,2
Пошаговое объяснение:вот обьяснение)
Приложения:
Похожие вопросы
Предмет: Английский язык,
автор: tinaglam
Предмет: Русский язык,
автор: Наська2003
Предмет: Қазақ тiлi,
автор: НаСтЯ191010
Предмет: Математика,
автор: Помогитекуку270