Предмет: Алгебра,
автор: denis03487802
помогитееееее пожалуйста можно без решения
Приложения:
Ответы
Автор ответа:
0
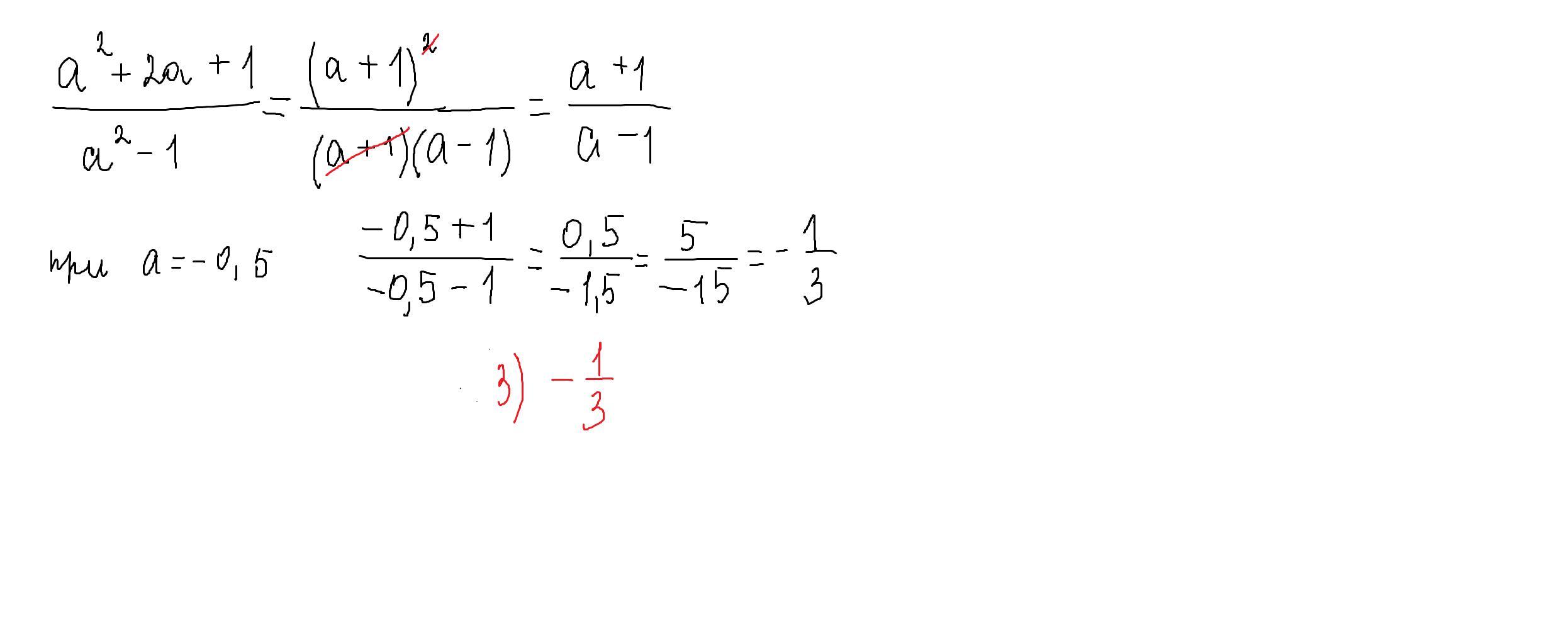
Ответ:
3) -1\3
Объяснение:
решение внизу
Приложения:
Похожие вопросы
Предмет: Английский язык,
автор: дракула78
Предмет: Українська література,
автор: katyalisenok
Предмет: Английский язык,
автор: Kristina0500
Предмет: Химия,
автор: NactyaB1447