Предмет: Физика,
автор: vaninnika
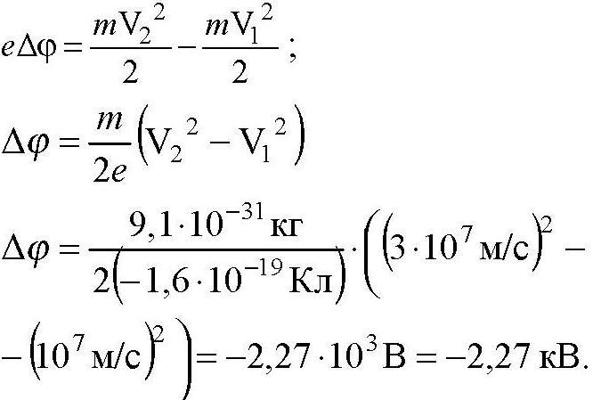
СРОЧНО!! Какую разность потенциалов должен пройти электрон, чтобы его скорость уменьшилась от 10 до 30 Мм/ с?
Ответы
Автор ответа:
1
Ответ: -2,27 кВ
Подробное решение:
Приложения:
vaninnika:
Уменьшилась, а не увеличилась
Похожие вопросы
Предмет: Русский язык,
автор: 92511
Предмет: Русский язык,
автор: Natashka1906
Предмет: Русский язык,
автор: asankina
Предмет: География,
автор: Пижон84