Предмет: Математика,
автор: anistonswiftkey538
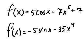
Найти производную 5cosx-7x^5+7
Ответы
Автор ответа:
0
Ответ:
-5sin x - 35x^4
Пошаговое объяснение:
Приложения:
anistonswiftkey537:
а дальше?
это всё
это и есть производная
Похожие вопросы
Предмет: Английский язык,
автор: Комбу90
Предмет: Русский язык,
автор: damir29000
Предмет: Русский язык,
автор: юлька54321
Предмет: Математика,
автор: 20070706
Предмет: Алгебра,
автор: katenamau