Предмет: Математика,
автор: komkorbek
Помогите Пж даю 20 БАЛЛОВ
Приложения:
Ответы
Автор ответа:
1
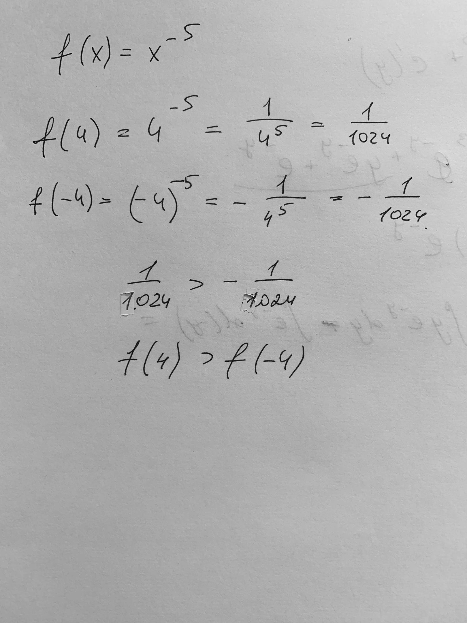
Ответ:
Пошаговое объяснение:
См. фото
Приложения:
Похожие вопросы
Предмет: Українська література,
автор: півЯ
Предмет: Русский язык,
автор: chebotaeva2001
Предмет: Другие предметы,
автор: Аноним
Предмет: Математика,
автор: Bokobok1230
Предмет: История,
автор: Аноним