Предмет: Геометрия,
автор: steponenkobogdan11
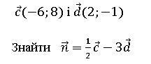
ДАно вектори помогите решить задание
Приложения:
Ответы
Автор ответа:
0
Ответ:(-9;7)
Объяснение:
Всё на фото.
Приложения:
Похожие вопросы
Предмет: Русский язык,
автор: katyahamster
Предмет: Русский язык,
автор: pashabeyova
Предмет: Беларуская мова,
автор: 10андрюха
Предмет: Геометрия,
автор: NoLifeNoDeaths