Предмет: Математика, автор: residanceerdead

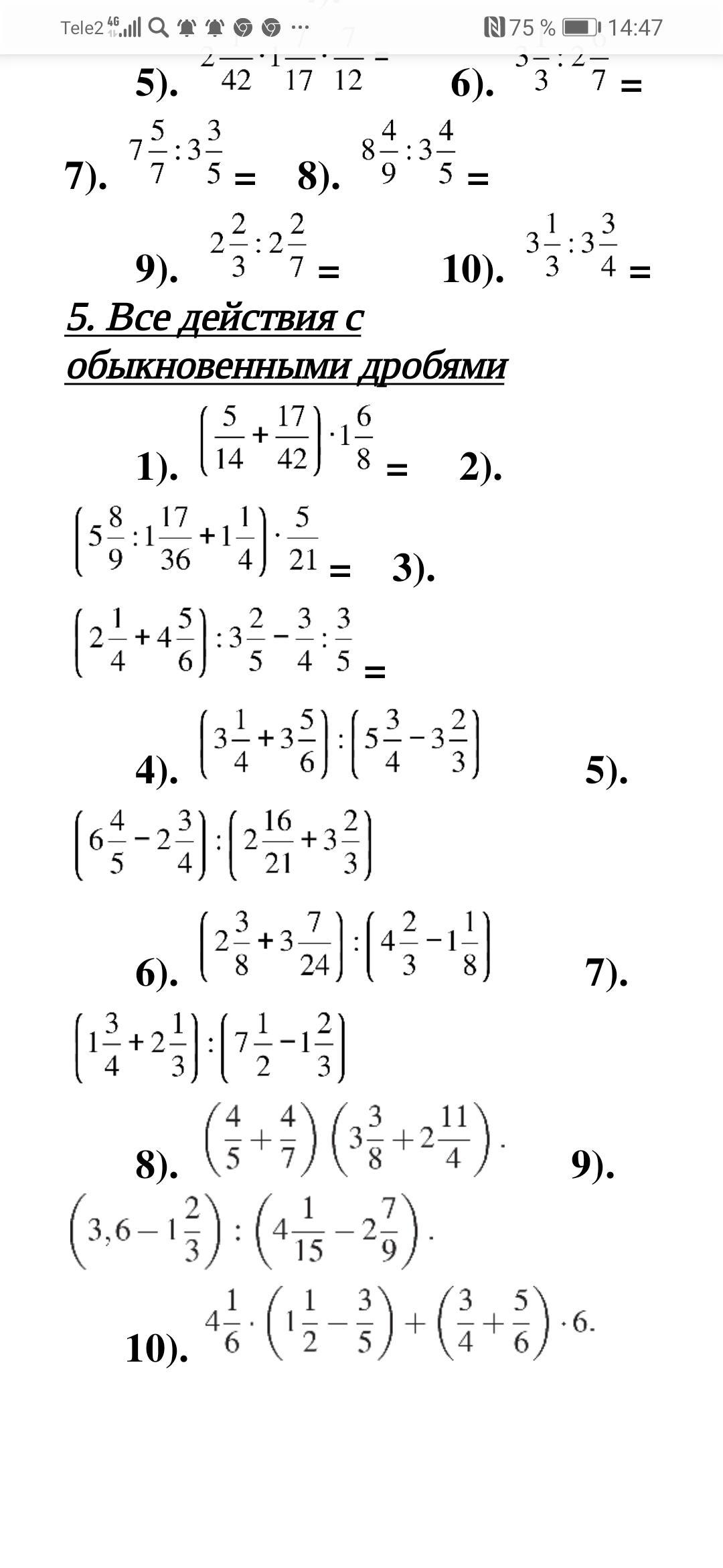
Помогите пятое если что все действия с обыкновенными дробями

Приложения:

vikysiia: С обьясненияи или просто ответ нужен?
residanceerdead: Желательно с объяснения и
vikysiia: есть инстаграм?
residanceerdead: Нет((
residanceerdead: Но могу создать
vikysiia: телеграм? Вайбер?
residanceerdead: Инстаграм relaxer6x

Ответы

Автор ответа: vikysiia
1

Ответ:

4/7, 3265/3402,  -11/36    , 3*2/5,    63/100,   1*3/5,    7/10,   11* 1/7   1*1/2,   13* 1/4

Пошаговое объяснение:

Похожие вопросы
Предмет: Русский язык, автор: НастюшаКрутаяПрикол
Предмет: Русский язык, автор: НастюшаКрутаяПрикол