Предмет: Алгебра,
автор: hekstor71
помогите срочно даю 50 баллов
Приложения:
Ответы
Автор ответа:
0
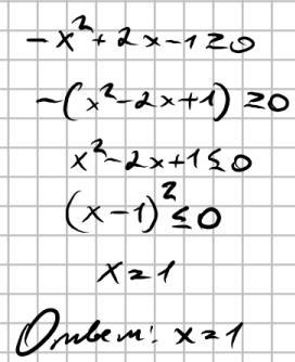
Ответ:
c) x = 1
Объяснение:
Приложения:
Похожие вопросы
Предмет: Русский язык,
автор: SuslinA1978
Предмет: Русский язык,
автор: дурсун
Предмет: Русский язык,
автор: zolotina19
Предмет: Геометрия,
автор: yppig