Предмет: Алгебра,
автор: dronbabchenko
Даю 10 баллов.Помогите решить срочно!
Приложения:
Ответы
Автор ответа:
0
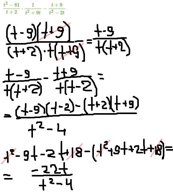
Ответ:
см фото
Объяснение:
Приложения:
Похожие вопросы
Предмет: Русский язык,
автор: goos2003
Предмет: Русский язык,
автор: Вероника01032000
Предмет: Русский язык,
автор: Kusь
Предмет: Обществознание,
автор: di1anam2anunina
Предмет: Математика,
автор: Gggaff