Предмет: Алгебра,
автор: lsasa3086саня
нужно решить пример 30 баллов
Приложения:
Ответы
Автор ответа:
1
Ответ:
(2;-3)
Объяснение:
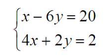
x - 6y = 20
4x +2y = 2
1) x = 20 + 6y
2) 4 (20 + 6y) + 2y =2
80 + 24y + 2y = 2
26y = -78
Получается y= -3
3) x = 20 + 6 * (-3)
Получается x= 2
Похожие вопросы
Предмет: Русский язык,
автор: kalina2003
Предмет: Английский язык,
автор: fga
Предмет: Английский язык,
автор: ASKI14
Предмет: Математика,
автор: shaurma0079
Предмет: Обществознание,
автор: BANAN897