Предмет: Математика,
автор: Аноним
Поооооомоооогиииитеее пж, даю 35 балов!!!!!
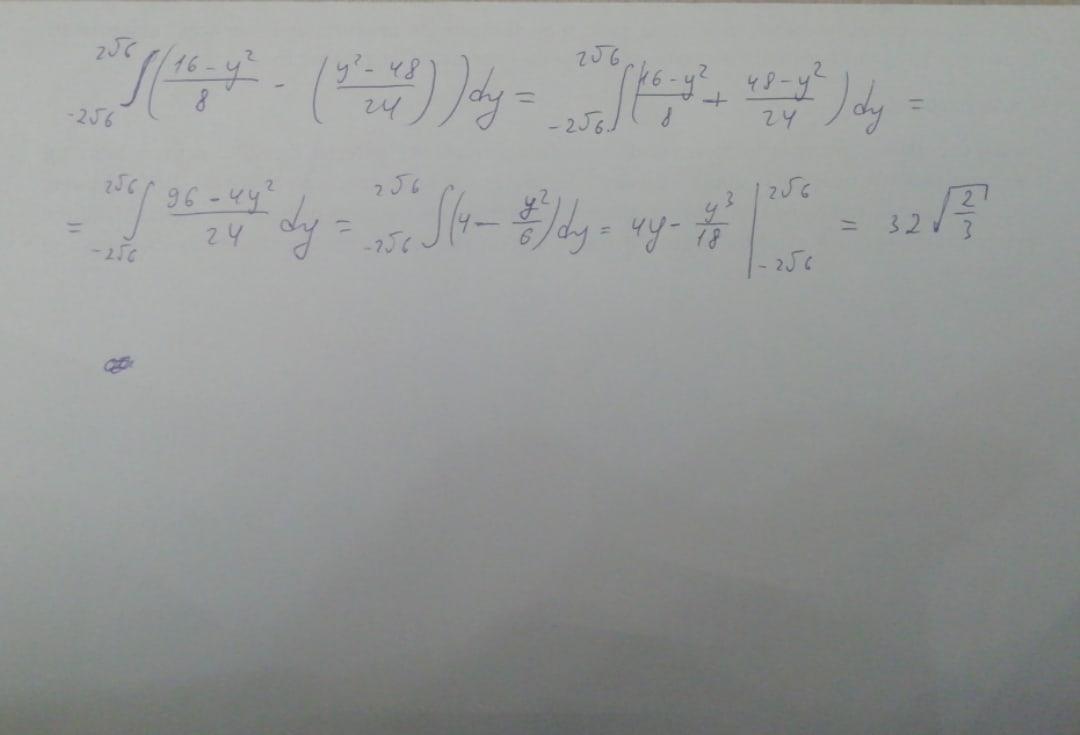
Как найти площадь (при помощи определенных интегралов) фигуры, ограниченной параболами y^2=16-8x, y^2=24x+48.
Ответы
Автор ответа:
0
Ответ:
Пошаговое объяснение:
Сначала находим границы интегрирования:
x=(16-y²)/8
x=(y²-48)/24
(16-y²)/8=(y²-48)/24
48-3y²=y²-48
-4y²=-96
y²=24
y=±√24
y1=2√6 y2=-2√6
Интеграл на промежутке от -2√6 до 2√6
Приложения:
terbion:
Пожалуйста, отметьте ответ, как лучший
Похожие вопросы
Предмет: Русский язык,
автор: лалита1101
Предмет: Қазақ тiлi,
автор: isamextiyev
Предмет: Русский язык,
автор: в5кпнго
Предмет: Математика,
автор: safar123
Предмет: Математика,
автор: sveta01111