Предмет: Алгебра,
автор: dmitriysolovey668
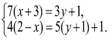
Розв’яжіть систему рівнянь. ПОЖАЛУЙСТА КАК МОЖНО БЫСТРЕЕ, ДАЮ 20 БАЛЛОВ!!!
Приложения:
Ответы
Автор ответа:
1
Ответ:
(x;y)=(-2; 2)
Объяснение:
{7(x+3)=3y+1
4(2-x)=5(y+1)+1
{x=3/7y-20/7
4(2-x)=5(y+1)+1
4(2-(3/7y-20/7))=5(y+1)+1
y=2
4(2-x)=5(2+1)+1
x=-2
(x;y)=(-2; 2)
Проверям верный ли ответ:
{7(-2+3)=3*2+1
4(2-(-2))=5(2+1)+1
{7=7
16=16
Ответ: (x;y)=(-2; 2)
dmitriysolovey668:
Огромное спасибо!
Похожие вопросы
Предмет: Другие предметы,
автор: юлия280303
Предмет: Другие предметы,
автор: dika210
Предмет: Русский язык,
автор: lenok030576
Предмет: История,
автор: eremeewadaria2