Предмет: Математика,
автор: goroh1228
Найдите значения этих выражений (20 баллов)
Приложения:
Ответы
Автор ответа:
1
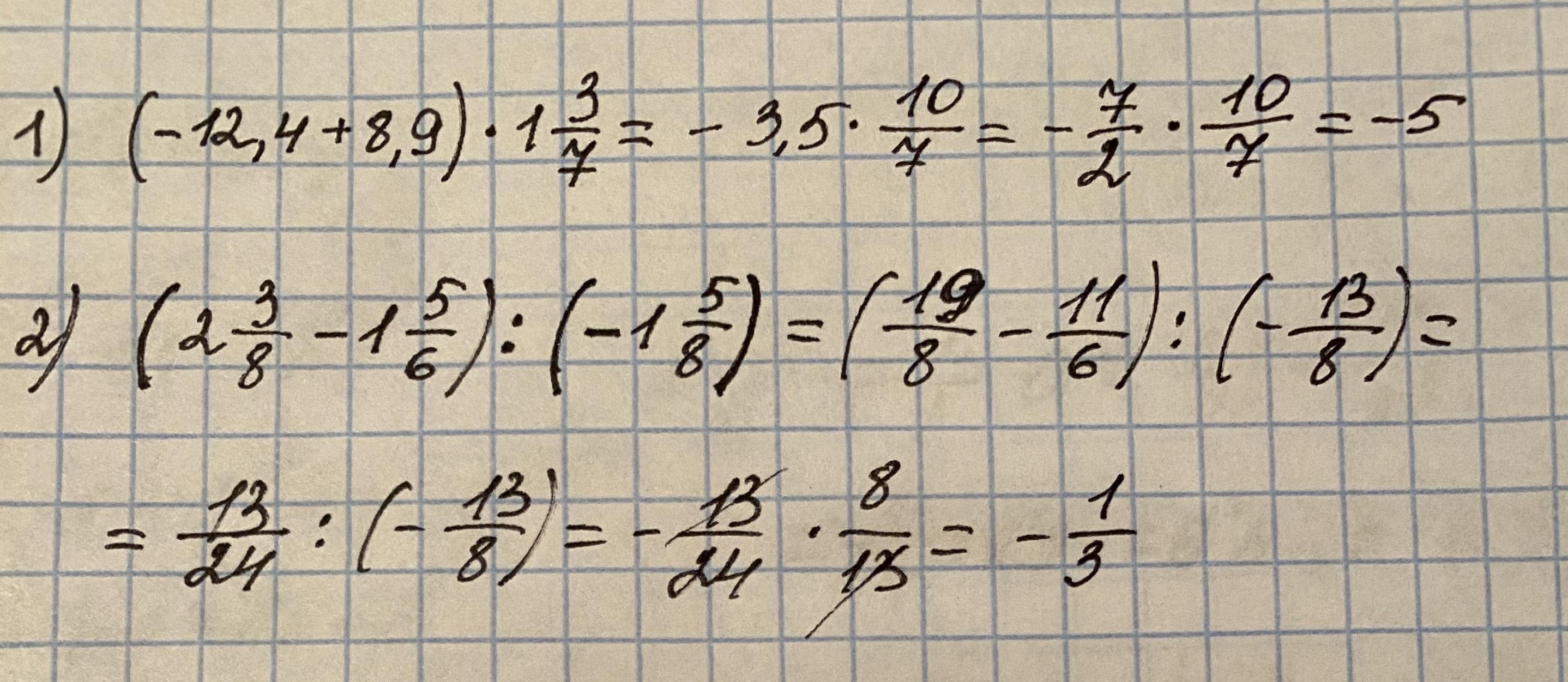
Ответ:
Пошаговое объяснение:
Приложения:
sabi0000:
Если не сложно, отметь пожалуйста как лучший ответ.
Похожие вопросы
Предмет: Русский язык,
автор: HerliBoy
Предмет: Русский язык,
автор: aleksandrbabin
Предмет: Русский язык,
автор: mari1969
Предмет: Алгебра,
автор: Кэтрин4757
Предмет: История,
автор: JAVA111