Предмет: Математика,
автор: pojiloykrol
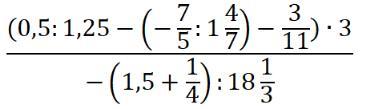
Решите пж помогите! ;-;
Приложения:
Ответы
Автор ответа:
1
33048/385=-86(сократила)
pojiloykrol:
Можешь по действиям?
ПОЛИНАААААА
Да
Секунду
Я не могу написать ответ, там другой человек пишет
Ты можешь мне кинуть свою инсту
Я туда скину фото
https://www.instagram.com/tryelionik/?hl=ru
Похожие вопросы
Предмет: Английский язык,
автор: kvas2001
Предмет: Русский язык,
автор: студёнова
Предмет: Русский язык,
автор: Xilal
Предмет: Математика,
автор: yunak1
Предмет: Математика,
автор: olenyarozhkiallison7