Предмет: Алгебра,
автор: minster06
даю 40 баллов помогите пожалуйста
Приложения:
Ответы
Автор ответа:
1
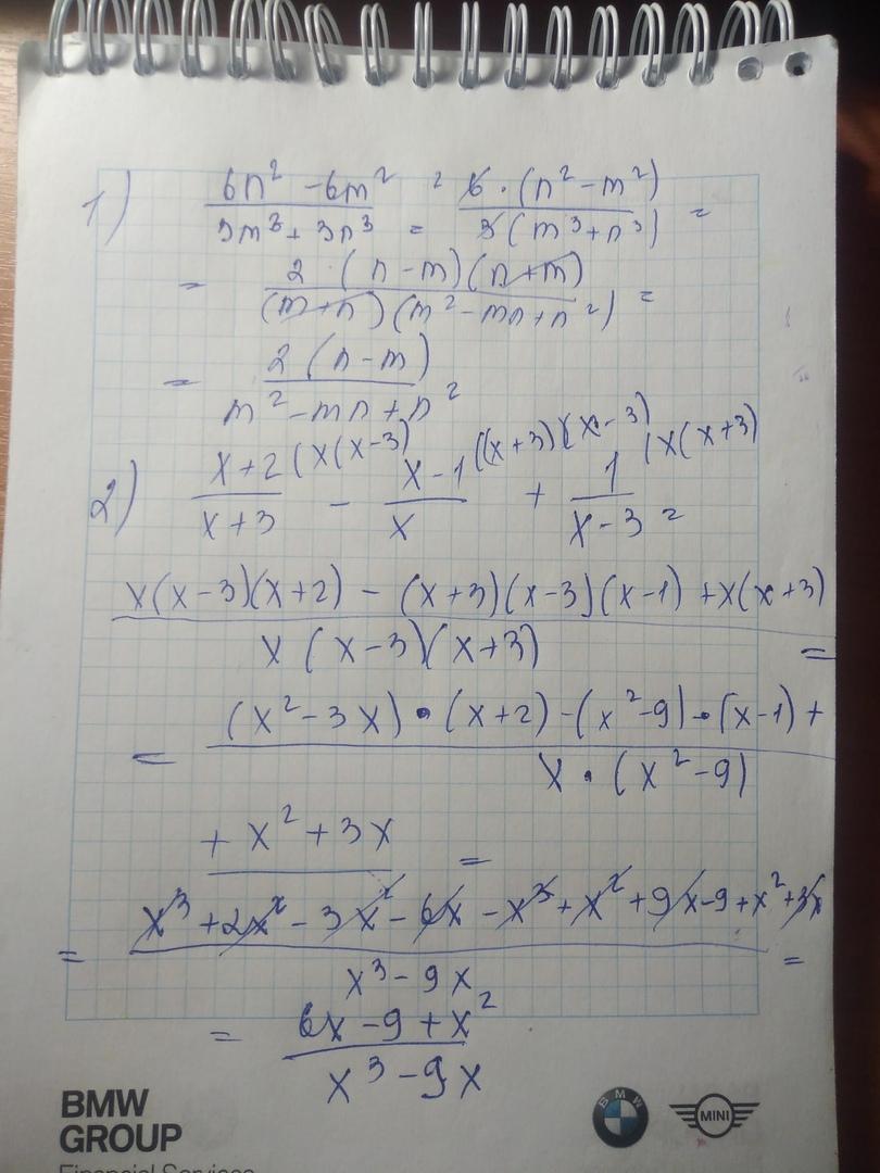
Ответ:
Объяснение:
Все решения на фото, прости за корявый почерк.
Приложения:
minster06:
огромное спасибо
Похожие вопросы
Предмет: Українська мова,
автор: Аноним
Предмет: Английский язык,
автор: Кристи2403
Предмет: Русский язык,
автор: Svetlana1nervnaya
Предмет: Литература,
автор: katenanaumenko
Предмет: География,
автор: andrey097531