Предмет: Алгебра,
автор: Аноним
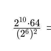
2^10*64/(2^6)^2
С решением пожалуйста
Приложения:
Ответы
Автор ответа:
1
Ответ:
Эээ не знаю
Объяснение:
Не знаю мы это ещё не проходили
Похожие вопросы
Предмет: Русский язык,
автор: vbnhnb
Предмет: Русский язык,
автор: Bdjj
Предмет: Английский язык,
автор: Аноним
Предмет: Математика,
автор: nikakoheleva14
Предмет: Математика,
автор: katy2534