Предмет: Алгебра,
автор: Egorka2648
Даю 20 БАЛЛОВ
ПОМОГИТЕ СРОЧНО
Приложения:
Ответы
Автор ответа:
0
Ответ
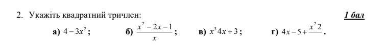
Ответом равняется Б потом у что там 3 члена и один из низ них квадратный
Объяснение:
Похожие вопросы
Предмет: Русский язык,
автор: 8Neznakomka2014
Предмет: Українська мова,
автор: nemecs2014
Предмет: Русский язык,
автор: 12345633Kirill
Предмет: Химия,
автор: NastyMonid
Предмет: География,
автор: 12344512