Предмет: Математика,
автор: HeLlpMEpLese
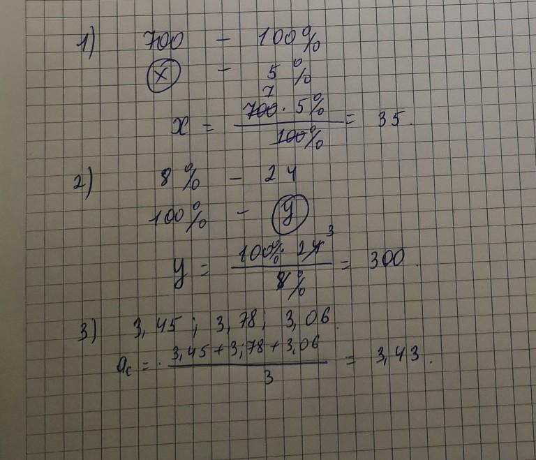
1-ое 5% от 700 грн
2-ое найдите число если его 8% 24
3-ее чему равно среднее арифметическое чисел: 3,45 , 3,78 , 3,06 ПОДРОБНО
Ответы
Автор ответа:
1
Ответ:
Тут подробно написано. Удачи вам
Приложения:
Похожие вопросы
Предмет: Русский язык,
автор: Popp20
Предмет: Русский язык,
автор: egorromanov20
Предмет: Русский язык,
автор: aarevik2014
Предмет: Алгебра,
автор: vikamesheryakova