Предмет: Алгебра,
автор: nikagrek73
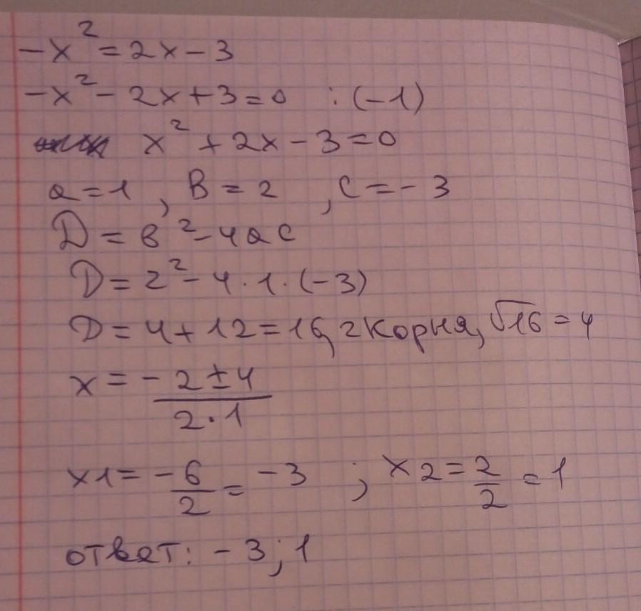
-х^2=2х-3 решить графически уравнение
HunterSwiftKey:
прости, но я только начала понимать эту тему
Ответы
Автор ответа:
1
Ответ:
Удачи закончить учебный год на отлично
Приложения:
Спасибо большое
а что такое Д?
дискриминант
Автор ответа:
0
Ответ: на фото
Пошаговое объяснение: надеюсь помогла)
Пошаговое объяснение: надеюсь помогла)
Приложения:
спасибо ,но это немного не то, знаки не те
да
Похожие вопросы
Предмет: Русский язык,
автор: kristina7890876
Предмет: Русский язык,
автор: Anel22
Предмет: Русский язык,
автор: zakaz178
Предмет: Геометрия,
автор: alinakisakiss