Предмет: Алгебра,
автор: Аноним
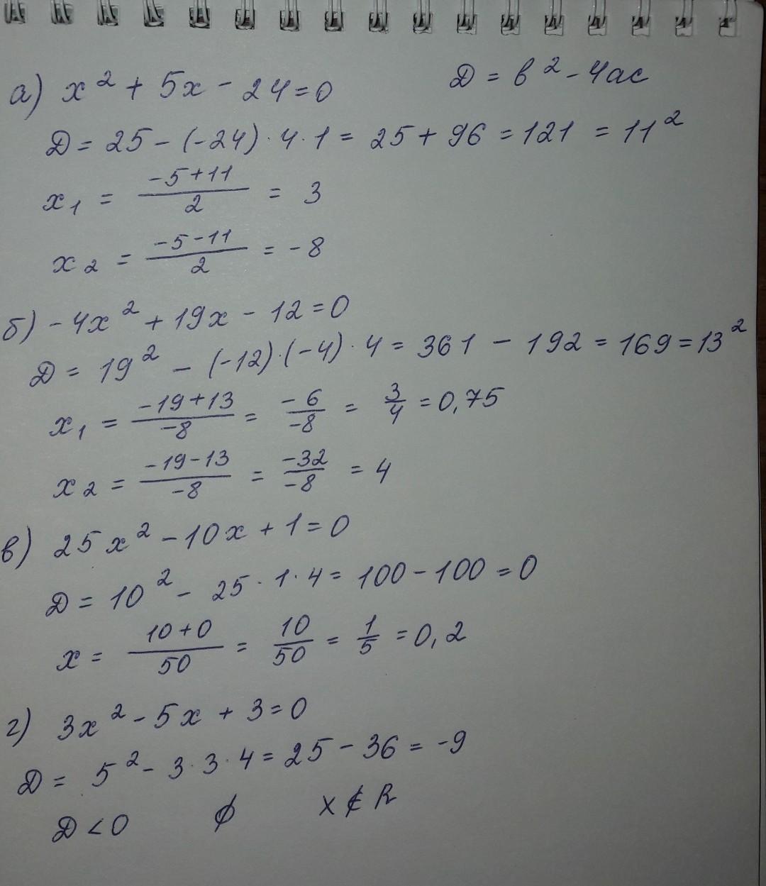
cрочно! пожалуйста распишите!
Приложения:
Ответы
Автор ответа:
1
Ответ:
ащтвгвтвшатагаташоашвшартрг
Приложения:
Похожие вопросы
Предмет: Русский язык,
автор: Vesna8080
Предмет: Русский язык,
автор: lovemilka
Предмет: Українська мова,
автор: jeyk
Предмет: Физика,
автор: mandarinka00001
Предмет: Математика,
автор: kopevaalena231