Предмет: Алгебра, автор: artgrandodessa

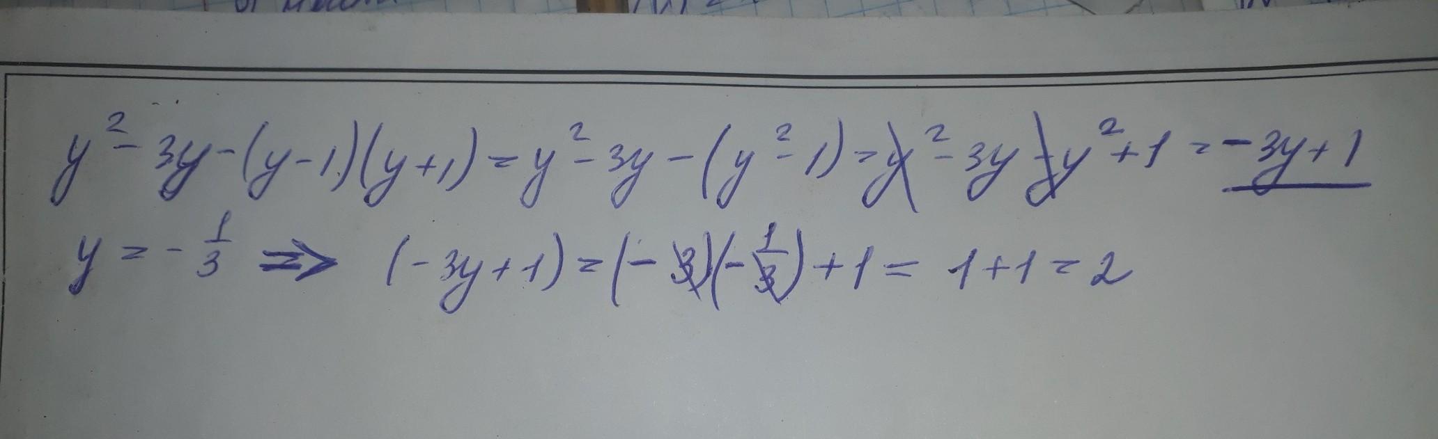
упростить выражение y2-3y-(y-1)(y+1) и вычислить его значение при y= -1/3


gkfvfje: Можно задать вопрос?

Ответы

Автор ответа: gnomiha211
1
упростила до -3у+1 . Подставила y=-1/3 и получился ответ 2.
Приложения:
Похожие вопросы
Предмет: Русский язык, автор: kenpek
1. Укажите предложение с
грамматической ошибкой (с нарушением
синтаксической нормы).
1) Вдруг в доме,
стоящем через улицу от меня, раздались
звуки органа.
2) В турнире участвовали
представители многих стран: Австрия,
 Венгрия, Россия, Румыния.
3) Великие
дела совершаются без шума, они скромно
творятся в пользу человечества.
4)
Подвиг создает и накопляет добро, делает
жизнь лучше, развивает гуманность.
2.
Укажите предложение с грамматической
ошибкой (с нарушением синтаксической
нормы).
1) Найдя чужую вещь, следует
немедленно возвратить её хозяину.
2)
Мир русской культуры, благодаря её
восприимчивости, необычайно богат.
3)
В русский язык вошли и стали его частью
имена многих литературных героев.
4)
Через несколько дней после ссоры
Дубровский поймал крестьян Троекурова
в своих лесах, кравших дрова.
3.Укажите
предложение с грамматической ошибкой
(с нарушением синтаксической нормы).
1)
Мне немало в жизни пришлось повидать
хороших людей и которые никогда не
отказывали в помощи.
2) Поняв проблемы
другого человека, помогите ему их
решить.
3) Преподаватели выслушали
студента и порадовались его академическим
знаниям.
4) Луи Пастер широко известен
своей борьбой с болезнью бешенства,
считавшейся неизлечимой.
4.Укажите
предложение с грамматической ошибкой
(с нарушением синтаксической нормы).
1)
Все, затаив дыхание, слушали радиопередачу.
2)
Человек, задерганный бесчеловечным
ритмом современной жизни, огромным
потоком информации, отучается от общения
с миром природы.
3) В журнале «Новом
мире» впервые была опубликована повесть
А.И. Солженицына «Один день Ивана
Денисовича».
4) Наука может мгновенно
изменить и просветить вопросы
мироздания.
5.Укажите предложение
с грамматической ошибкой (с нарушением
синтаксической нормы).
1) Просвещение
и культура всегда будут синонимами: как
в том, так и в другом наименовании
заключена готовность к беспредельному
познанию.
2) Твои советы — это не только
пустая трата времени, но и
дерзость
неслыханная!
3) Для человека,
привыкшего к чтению, оно становится
необходимейшей потребностью.
4) Задание,
выполняющееся нами, не вызывает особых
затруднений.
6. Укажите
предложение с грамматической ошибкой
(с нарушением синтаксической нормы).
1)
Людей, занимающихся опасными видами
спорта, называют экстремалами.
2) Я
долго не мог отличить старшую сестру
от младшей.
3) Сажать и ухаживать за
цветами совсем не просто.
4) Я с невольным
восхищением наблюдаю за танцующими и
завидую грациозности их движений.
7.
Укажите предложение с грамматической
ошибкой (с нарушением синтаксической
нормы).
1)Всем понравилась повесть,
опубликованная в последнем номере
журнала и которая рассказывает о
неизвестных страницах войны.
2)
Боттичелли был учеником известного
живописца Филиппе Липпи, а также
флорентийского живописца и скульптора
Андреа Верроккио.
3) Своим спасением
я обязан случаю.
4) Школьники наблюдали
солнечное затмение.
8. Укажите
предложение с грамматической ошибкой
(с нарушением синтаксической нормы).
1)
Писатель Я. Голованов в «Этюдах об
учёных» увлекательно рассказывает о
жизни многих известных людей.
2)
Организовать и руководить компьютерным
обучением дело не простое.
3) Жизнь,
отданная за родину, со временем становится
легендой.
4) Движение на дороге было
восстановлено благодаря умелым действиям
работников ГАИ.
9. Укажите
предложение без грамматической ошибки
(без нарушения синтаксической нормы).
1)
Ряд столов стояли в кабинете.
2) Никто,
даже отличники, не смогли решить
олимпиадные задания.
3) Мать с детьми
уехали в деревню.
4) Большинство ребят
согласились с учителем.
10.
Укажите предложение без грамматической
ошибки (без нарушения синтаксической
нормы).
1) Мало книг прочитаны тобой.
2)
Миллион рублей был передан детскому
дому.
3) Пять легкоатлетов прибежало
к финишу одновременно.
4) Тысяча бойцов
отправилось на фронт.
11. Укажите
предложение без грамматической ошибки
(без нарушения синтаксической нормы).
1)
Секретарь позвонила директору.
2)
Прошли сто лет.
3) Хирург Сергеева
прооперировала больного.
4) Два тополя
стояло у калитки.


Предмет: Математика, автор: Тимур1111118