Предмет: Алгебра,
автор: KIRMV
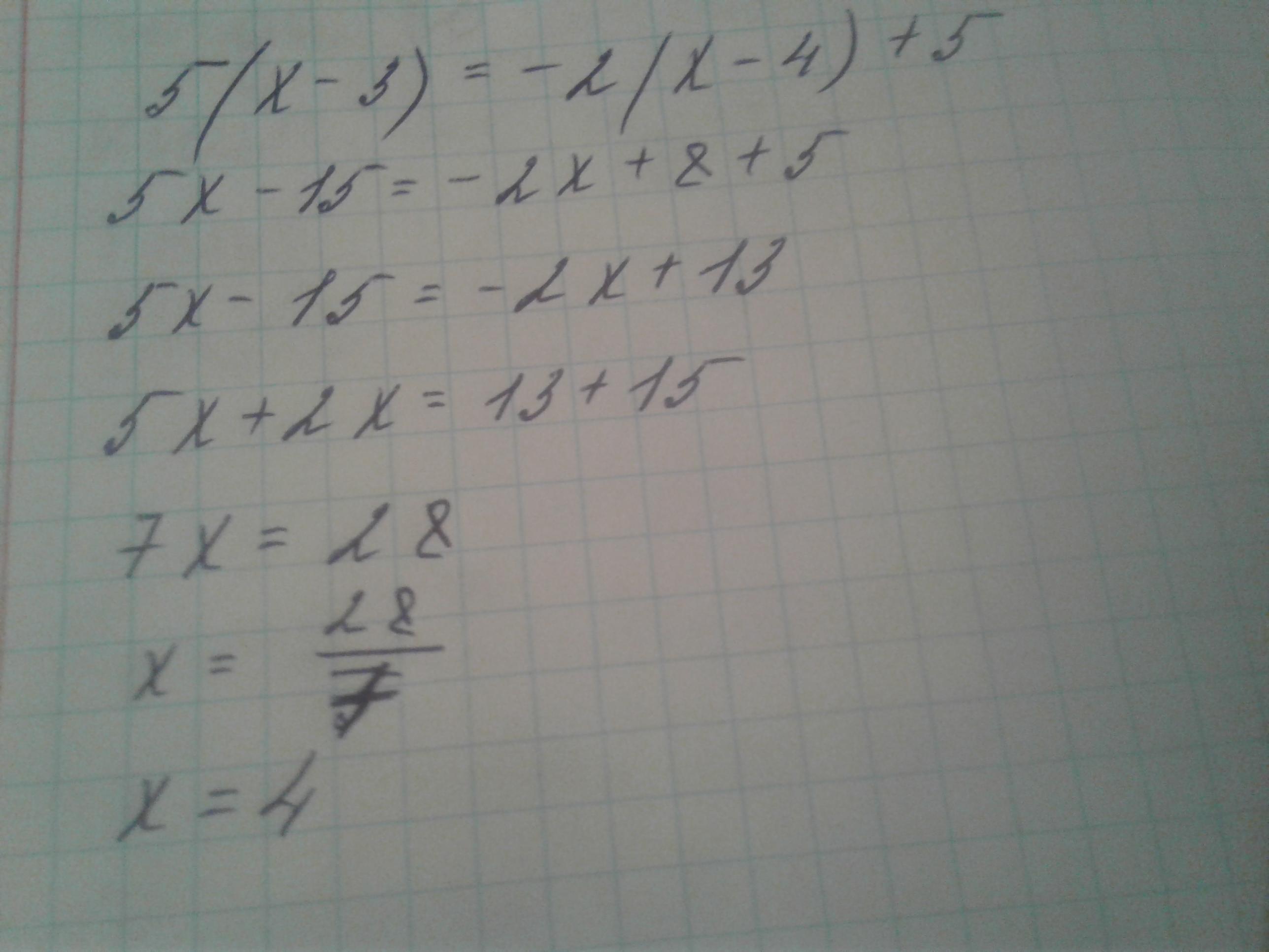
найдите корни уровнения 5(х-3)=-2(х-4)+5
Ответы
Автор ответа:
1
Ответ:
...................
Объяснение:
Приложения:
Автор ответа:
1
Ответ:
4
Объяснение:
5(х-3)=-2(х-4)+5
5х – 15 = -8 + 2х + 5
5х – 15 = -3 + 2х
5х – 2х = -3+ 15
3х = 12
х = 12 : 3
х = 4
Похожие вопросы
Предмет: Қазақ тiлi,
автор: kseniya80801
Предмет: Другие предметы,
автор: 852963741Aa
Предмет: Русский язык,
автор: amirovstas
Предмет: Математика,
автор: Аноним
Предмет: География,
автор: пожалуйста153