Предмет: Алгебра,
автор: telepusik06
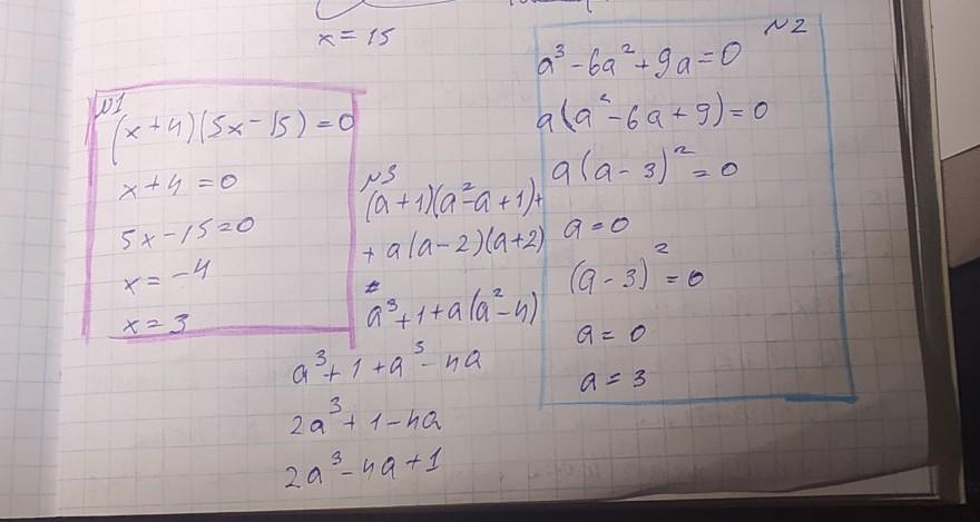
Решите уравнение (x+4)(5x-15)=0.
Выполните действия:
(a+1)(a^2-a+1)+a(a-2)(a+2).
Найдите корни уравнения a^3-6a^2+9a=0.
Ответы
Автор ответа:
1
в о т о т в е т . .. . . . . . .. .
Приложения:
Похожие вопросы
Предмет: Русский язык,
автор: Аря44ка
Предмет: Другие предметы,
автор: Алееееенааа
Предмет: Другие предметы,
автор: KitaevaEG
Предмет: Биология,
автор: darialaypina05
Предмет: Информатика,
автор: рома1096