Предмет: Алгебра,
автор: denentorshedow
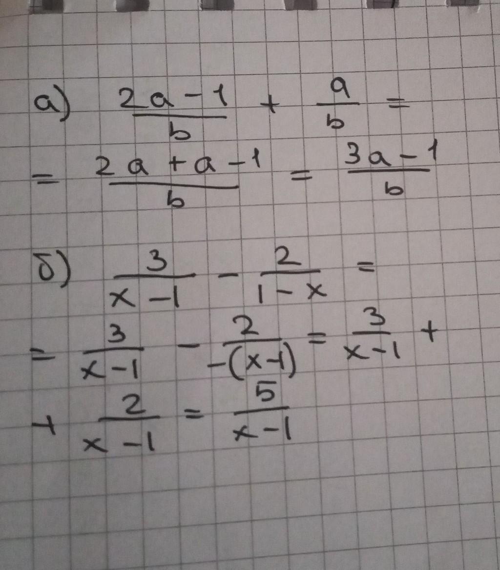
Выполните сложение и вычитание добей ( пж в тетради )
Приложения:
Ответы
Автор ответа:
0
ответ:
а)
б)
Приложения:
Похожие вопросы
Предмет: Английский язык,
автор: kjkrf
Предмет: Русский язык,
автор: ksushabolshagin
Предмет: Английский язык,
автор: Геля21
Предмет: Химия,
автор: Laimon1