Предмет: Математика, автор: alisameow

Вычислить несобственные интегралы или установить их расходимость.
Можно выполнить на листе бумаги и прикрепить фото.

Приложения:

alisameow: Не спамить - БАН

Ответы

Автор ответа: mionkaf1
0

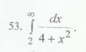
Имеем несобственный интеграл 1-го рода:

\int^{\infty}_2\frac{dx}{4+x^2}

По формуле: \int^{\infty}_af(x)dx= \lim_{b \to +\infty} F(x)\mid^b_a= \lim_{b \to +\infty}(F(b)-F(a)) имеем:

\int\frac{1}{4+x^2}dx=\frac{arctg(\frac{x}{2}) }{2}+C\\\\ \lim_{b \to +\infty} \frac{arctg(\frac{x}{2}) }{2}\mid^b_2= \lim_{b \to +\infty} (\frac{arctg(\frac{b}{2}) }{2}-\frac{arctg(\frac{2}{2}) }{2})= \lim_{b \to +\infty} (\frac{arctg(\frac{b}{2}) }{2}-\frac{\frac{\pi}{4} }{2})=\\\\ =\frac{\pi}{4}-\frac{\pi}{8}=\frac{\pi}{8}

Как видно из результата - интеграл сходится.

Похожие вопросы
Предмет: Русский язык, автор: jmorik