Предмет: Математика,
автор: alisameow
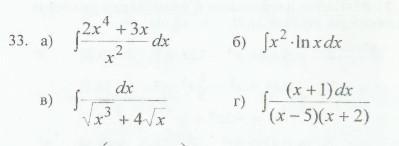
Вычислить неопределенные интегралы.
Можно выполнить на листе бумаги и прикрепить фото.
Приложения:
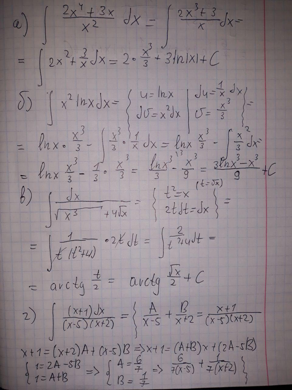
Ответы
Автор ответа:
1
///////////////////////////
Приложения:
Похожие вопросы
Предмет: Другие предметы,
автор: Аноним
Предмет: Английский язык,
автор: Llarocb
Предмет: Русский язык,
автор: Arina0205
Предмет: Алгебра,
автор: valyamn31122002
Предмет: Математика,
автор: TeReS666