Предмет: Алгебра,
автор: samsiatsalamova20
Помогите срочно нужно
Приложения:
Ответы
Автор ответа:
0
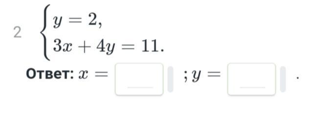
Ответ:
x=1 y=2 (1, 2)
Объяснение:
Автор ответа:
0
Ответ:
x=1, y=2
Объяснение:
3x+8=11
3x=3
x=1
Похожие вопросы
Предмет: Русский язык,
автор: миша121
Предмет: Українська мова,
автор: atekorsovskaya
Предмет: Українська мова,
автор: халепусик
Предмет: Математика,
автор: жаннур7
Предмет: Литература,
автор: kuznetsovartik