Предмет: Математика,
автор: aylinmemmedova2009
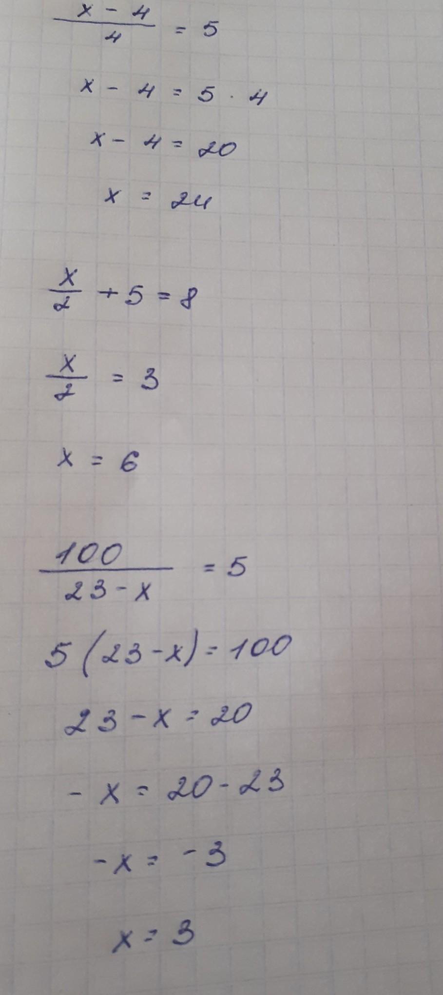
1515. Решите уравнения:
(x-4)/4=5
X/2+5=8
100/(23-x)=5
27/x-2=7
(x+2)/4=4
128-85/x=111
Ответы
Автор ответа:
9
Пошаговое объяснение:
смотри по началу чтобы не запутаться
Приложения:
Похожие вопросы
Предмет: Русский язык,
автор: naydeonow
Предмет: Другие предметы,
автор: ttttttttttttttyy
Предмет: Українська література,
автор: lis84
Предмет: Алгебра,
автор: TypeeVseh
Предмет: Математика,
автор: 39892898