Предмет: Алгебра,
автор: kundryukov05
Кто решит все получит 50 балов
Приложения:
Ответы
Автор ответа:
0
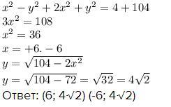
Ответ: Первое задание, позже ещё скину
Приложения:
Похожие вопросы
Предмет: Английский язык,
автор: Екатерина0209
Предмет: Русский язык,
автор: q199
Предмет: Другие предметы,
автор: laribelo
Предмет: Математика,
автор: Никакет14