Предмет: Алгебра,
автор: 111cat111
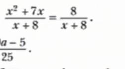
1.Решите уравнение х^2+7х/х+8=8/х+8
Пожалуйста помогите
Приложения:
Ответы
Автор ответа:
1
Ответ:
ну как то так . вроде бы так решают .
Приложения:
111cat111:
Уже поздно(, но ничего)
Похожие вопросы
Предмет: Русский язык,
автор: Seva928
Предмет: Другие предметы,
автор: ruzanna01
Предмет: Другие предметы,
автор: Yulia199906944
Предмет: История,
автор: kurbatov2004