Предмет: Математика,
автор: Аноним
Срочно математика 6 класс пожалуйста лаю 69 балов
Приложения:
Ответы
Автор ответа:
0
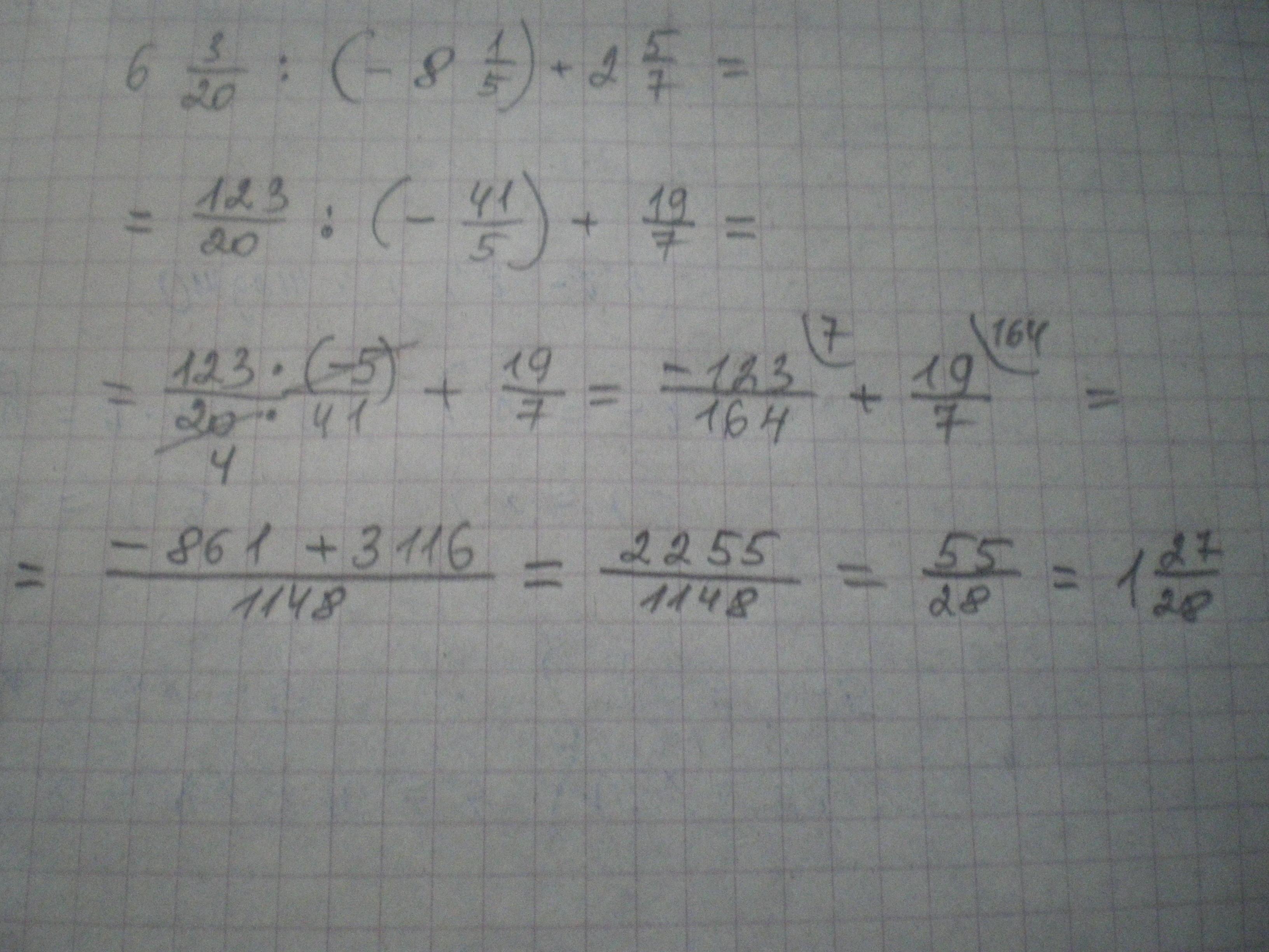
Ответ:
1 27/28
Пошаговое объяснение:
Приложения:
Похожие вопросы
Предмет: Русский язык,
автор: Криctинa
Предмет: Русский язык,
автор: mishinagelya
Предмет: Русский язык,
автор: margoxa79
Предмет: Математика,
автор: nicitamutcur
Предмет: Алгебра,
автор: anara197901015