Предмет: Химия,
автор: glper
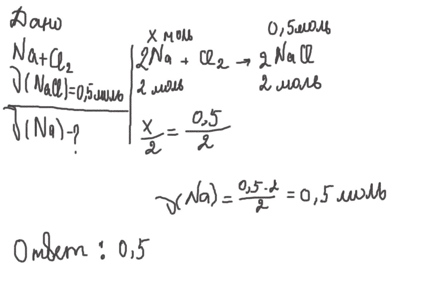
Вычислите количество вещества натрия, необходимого для получения хлорида натрия количеством вещества 0,5 моль (Na+Cl2=NaCl). Ответ округлите до десятых и запишите полученный результат без единиц измерения
Ответы
Автор ответа:
1
Ответ: 0,5..........................
Приложения:
Похожие вопросы
Предмет: Русский язык,
автор: gricenkov
Предмет: Українська мова,
автор: artem0612
Предмет: Русский язык,
автор: Аноним
Предмет: Информатика,
автор: shorovmyna