Предмет: Химия,
автор: kopkote
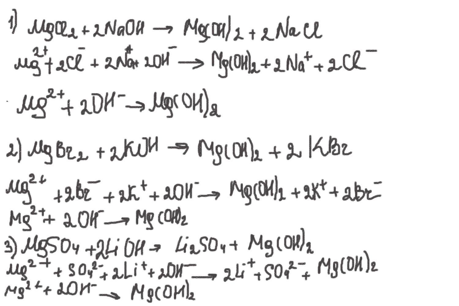
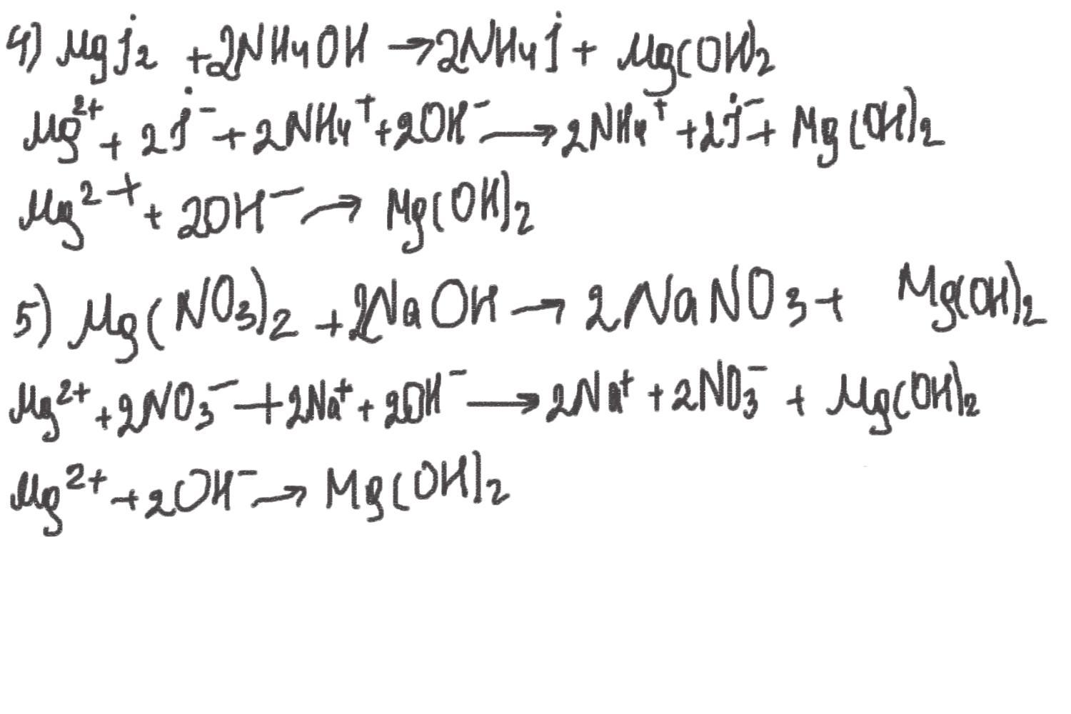
Сокращенное ионное уравнение реакции Mg2+2OH=Mg(OH)2
(5 примеров)
ПОМОГИТЕ НУЖНО СРОЧНО СДАТЬ ДО 23:55!!!!!
Ответы
Автор ответа:
1
Ответ во вложении...
Приложения:
kopkote:
Спасибо огромное!!!!!! Если не составит труда можете тоже так же и для этого уравнения Ba(2+) + SO4(2-) = BaSO4
И ХРАНИ ВАС БОГ!!!!!
Похожие вопросы
Предмет: Русский язык,
автор: shcherbakovala
Предмет: Русский язык,
автор: aina200674
Предмет: Русский язык,
автор: ashraf19
Предмет: Математика,
автор: YuraBronza01
Предмет: История,
автор: oshubina1999