Предмет: Алгебра,
автор: Globus15
СРОЧНО ПОМОГИТЕ ПЖ С ПРОВЕРОЧНОЙ! ДАЮ 100 баллов!!!!
Приложения:
Ответы
Автор ответа:
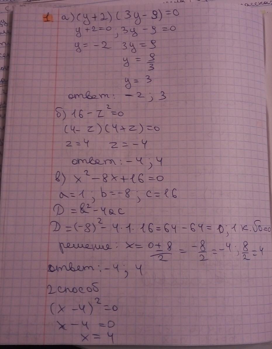
1
Ответ:
Удачи закончить учебный год на отлично!
Приложения:
Globus15:
Большое спасибо!)
Похожие вопросы
Предмет: Другие предметы,
автор: настя4565
Предмет: Английский язык,
автор: ник22222222
Предмет: Английский язык,
автор: Aleksandra191
Предмет: Математика,
автор: pinohet72
Предмет: Литература,
автор: анет42