Предмет: Физика,
автор: kuanishqizodiana
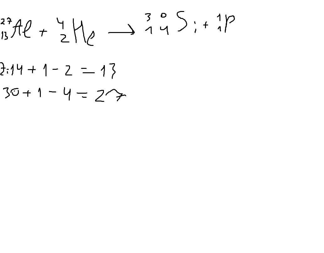
? + 42Не➡️ 3014Si +11p СРОЧНО ПО ФИЗИКЕ
Ответы
Автор ответа:
1
Ответ:
²⁷₁₃Al
Объяснение:
Приложения:
Похожие вопросы
Предмет: Русский язык,
автор: zariw
Предмет: Українська література,
автор: luchiakoval
Предмет: Русский язык,
автор: ЮляСоня
Предмет: Математика,
автор: Приветы11