Предмет: Математика,
автор: botaeee16
Помогите дам 100 баллов
Приложения:
botaeee16:
хорошо
спасибл
Ответы
Автор ответа:
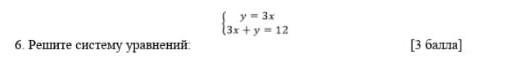
1
Ответ:х=2 у=6
Пошаговое объяснение:
3х+3х=12
6х=12
х=2
у=3*2
у=6
3*2=6+6
это правильно?
да. сам(а) реши, подставив место х и у числа.
спасибо
Автор ответа:
1
Ответ:
Ответ на фотографии
Удачи!
Приложения:
Спасибо большое!
Похожие вопросы
Предмет: Русский язык,
автор: анекдотик
Предмет: Русский язык,
автор: kamillamusaeva
Предмет: Другие предметы,
автор: zabuza7543
Предмет: Физика,
автор: вишнч
Предмет: Математика,
автор: нурай1411