Предмет: Алгебра,
автор: iYahooo
Найдите значение выражения
Приложения:
Ответы
Автор ответа:
0
2√2*√15*4√2*√2*√15*√2=7√2*2√15
Автор ответа:
0
ты попутал, задание, скорее всего, упростить)
Автор ответа:
0
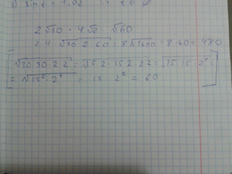
внизу более подробно
Приложения:
Похожие вопросы
Предмет: Английский язык,
автор: MrHacker2019
Предмет: Математика,
автор: sarakasymova904
Предмет: Биология,
автор: armanisa055
Предмет: Математика,
автор: оля4477766633