Предмет: Алгебра,
автор: legalega076
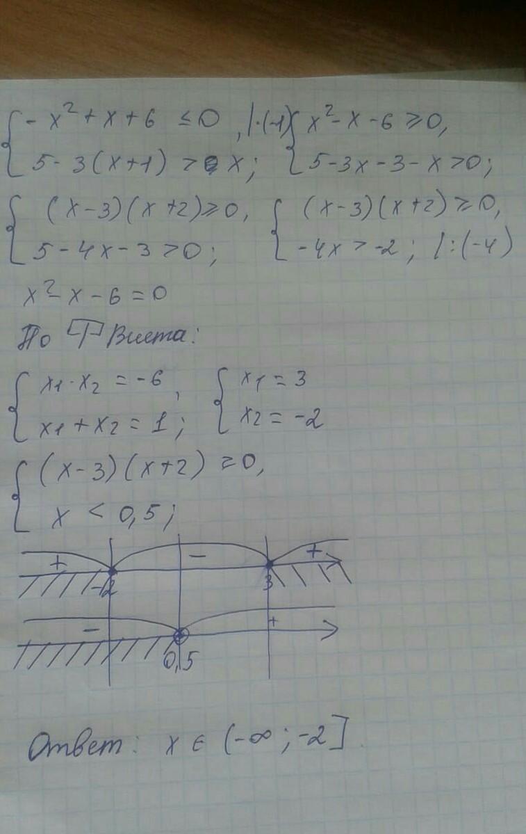
Решите систему неравенств
Приложения:
Ответы
Автор ответа:
0
Ответ:
............................
Объяснение:
..................
Приложения:
Похожие вопросы
Предмет: Другие предметы,
автор: m3317n6
Предмет: Русский язык,
автор: Lordwws
Предмет: Українська мова,
автор: katyauzhva
Предмет: Математика,
автор: алина3399
Предмет: Математика,
автор: sofiyagavrilenko