Предмет: Алгебра,
автор: arsenismailov12
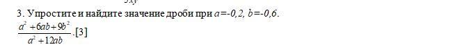
Помогите,даю 70 баллов
Приложения:
Ответы
Автор ответа:
1
Ответ:примерно таким должен быть ,исползуешь формулу (а+b)² и превратишь а²+6аb+9b2
Объяснение:
Приложения:
Похожие вопросы
Предмет: Английский язык,
автор: polinakazakova2
Предмет: Русский язык,
автор: borodulinakris
Предмет: Другие предметы,
автор: galenka83
Предмет: Математика,
автор: CHpoker1HP
Предмет: Физика,
автор: ДианаХарина