Предмет: Химия,
автор: Dimafany
1. Напишите 10 уравнений реакций ,одним из продуктов которых является кислород. (записать одно уравнение в ОВР)
2. Цепочки (разной степени сложности):
Сu → Сu О → Х → Сu (ОН) 2 → Сu SО4
ŃН3 → Х → Ỳ → НŃО3
Ńa → Ńa2 S→ Ńa Br →ŃaŃO3
Ответы
Автор ответа:
1
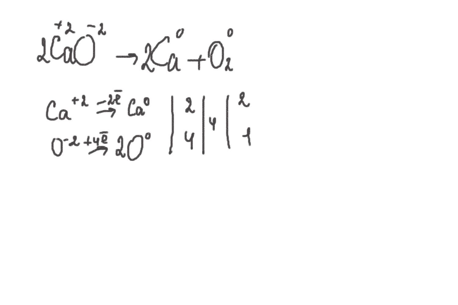
1. 2CaO =(t) 2Ca + O2
2MgO =(t) 2Mg + O2
KClO4 =(t) KCl + 2O2
2HgO = 2Hg + O2
2BaO =(t) 2Ba + O2
2SrO=(t) 2Sr + O2
2KMnO4 =(t) K2MnO4 + MnO2 + O2
2H2O =(t) 2H2 + O2
2H2O2 =(kat Pt) 2H2O + O2
SO2 =(t) S + O2
ОВР во вложении
2. Cu--->CuO--->X--->Cu(OH)2--->CuSO4 , вещество Х = CuCl2
2Cu + O2 = 2CuO
CuO + 2HCl = CuCl2 + H2O
CuCl2 + 2NaOH = Cu(OH)2 + 2NaCl
Cu(OH)2 + H2SO4 = CuSO4 + 2H2O
NH3--->X--->Y--->HNO3 вещество Х=NH4OH, Y=NH4NO3
NH3 + H2O = NH4OH
NH4OH + HNO3 = NH4NO3 + H2O
NH4NO3 = NH3 + HNO3
Na--->Na2S--->NaBr--->NaNO3
2Na + S = Na2S
Na2S + 2HBr = H2S + 2NaBr
NaBr + HNO3 = NaNO3 + HBr
Приложения:
Похожие вопросы
Предмет: Другие предметы,
автор: maxtk
Предмет: Українська мова,
автор: Юлиандия
Предмет: Русский язык,
автор: Polinka1413
Предмет: Химия,
автор: Planeter