Предмет: Геометрия, автор: ВулканчикD

Решить и расписать как решали

Приложения:

Ответы

Автор ответа: kimcheni
1

Ответ:

Объяснение:

Δafd=Δcfd ⇒∠eda=∠fdc=45

ae=cf

∠edf=180-45*2=90 ⇒ edfb-прямоугольник

ed=df -смежные стороны прямоугольник равны ⇒ edfb-квадрат

eb=bf

ab=ae+eb

bc=bf+fc

ae=fc

eb=bf ⇒ ab=bc ⇒Δabc-равнобедренный

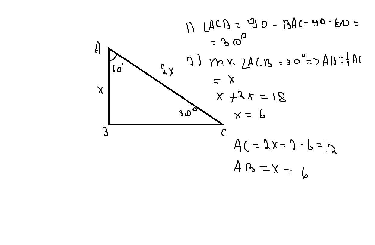
2)

Приложения:
Похожие вопросы
Предмет: Русский язык, автор: natalyafrolova
1. Вставьте пропущенные буквы, в скобках аргументируйте выбор орфограммы: I.
Уча…ствовать, хлес…нуть, безмол…ствовать, блес…нуть, бе…словес…ный,
искус…ный, лес…ница, сума…шедший, предчу…ствие, я…ства (=еда), по…чевать
грибами, ровес…ник, неснос…ный, дилетан…ский, плес…нуть, залихва…ский,
захолус…ный, праз…нество, целос…ный, ше…ствовать над малышами, шагающий э…скаватор,
услышать я…ственно, кос…ный мозг, уроки словес…ности, облас…ная
администрация, древес…ный, шотлан…ский, реше…чатый, наез…ник, весну…атый
помо…ник, пос…ное масло, задребе…жать, без…скус…ный, гувернан…ка,
беспр….страс…ный, мун….штук, аген…ство, шес...надцать, монпа…сье,
бескорыс…ный, му(с,сс)он, па(с,сс)ат, а(т,тт)ракцион, к…ра(л,лл)овый,
ма(с,сс)ированный, и(м,мм)итация, ка(р,рр)икатура, дама(с,сс)кий, в
пре(д,дд)верии праз…ника, к…мпре(с,сс)ор, а(к,кк)р…д…тация,
оди(н,нн)а…цать, две(н,нн)а…цать. II.  Позолоче…ые изделия,
пече…ый в золе картофель, стекля…ый взгляд, запр…же…ый в сбрую конь,
(не)тле…ые звезды, кожеве…ый завод, черво…ый туз, жже…ый сахар, надме…ый
лакей, сбереже…ый капитал, ржа…ые колосья, (не)тка…ая материя,
мыловаре…ая промышле…ость, размер…ный шаг, вяза…ая по журналу кофта,
расцепл…ый вагон, рва…ая к…ц…вейка, слова начерта…ы, растопле…ое масло,
позиция обстрел…а, звери затравле…ы, винокуре…ый заводишк…, ра…стеле…ая
скатерка, листья пореза…ы, беше…ый пыл, мой суже…ый, ходил как
потеря…ый, стопта…ые туфли, клейме…ый товар, потае…ый меч, сокрове…ая
дума, стриже…ая елка, заговорил вдохнове…о, двугриве…ик, гости радостны и
оживле…ы, выр…вне…ая площадка. III. (Не,ни)широкая в этой
части, но быстрая речка; (не,ни)пр…взойдё(н,нн)ый пример; (не)смотря
себе под ноги; (не)довырабатывал нормы; костюм мне (не)(в)пору; явился
(не)(в)пору; (не,ни)(по)чём ему ливень; мы были (не,ни)(при)чём;
останавливаться было (не)(за)чем, да и (не)где; (не,ни)(с)чем
(не,ни)сравнимое чувство к…мфорта; как(бы) там (не,ни) было, но (ни)кто
не ушел; сочинение окончательно (не) продума(н,нн)о; (не,ни)кем
(не,ни)покорё(н,нн)ая вершина; (не)глубокий снег; это (не,ни)что иное,
как (не)прочита(н,нн)ое письмо; (не,ни)чем иным это быть (не,ни)могло;
(не)когда жил некий (не)слышный, (не)заметный, (не,ни)кем
(не)исследова(н,нн)ый домовой; (ни)чем (не)пр…м…чательная дворняга;
(не)безвредный метод; шли, (не)взирая на (не)погоду; далеко (не)
спокойный разговор; всё это (не)(в)зачёт.   2. Расставьте знаки препинания: Вам
придется здесь ночевать сказал Максим Максимыч, в такую метель через
горы не переедешь. Что же ты не едешь спросил я ямщика с нетерпением.
Ветру бы теперь дунуть говорит Сергей. Разрешите идти в первую роту?
сказал Масленников старательно более чем обычно вытягиваясь перед
Сабуровым. Наконец я ей сказал хочешь пойдем прогуляемся в парке?
Скажи-ка мне красавица спросил я что ты делала сегодня на кровле?

Предмет: Английский язык, автор: Dreamer235