Предмет: Математика,
автор: tagaevmagomed281
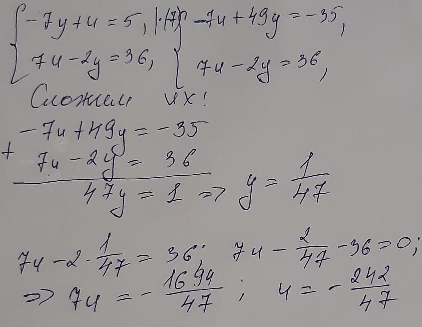
реши систему уравнений способом алгебраического сложения u-7y=5
7u-2y=36
Ответы
Автор ответа:
1
Решение на фото.
Удачи.
Приложения:
Похожие вопросы
Предмет: Русский язык,
автор: borodinovanata
Предмет: Русский язык,
автор: UnicornINSocs
Предмет: Английский язык,
автор: Kate00972
Предмет: Математика,
автор: Річ1