Предмет: Химия,
автор: kari444
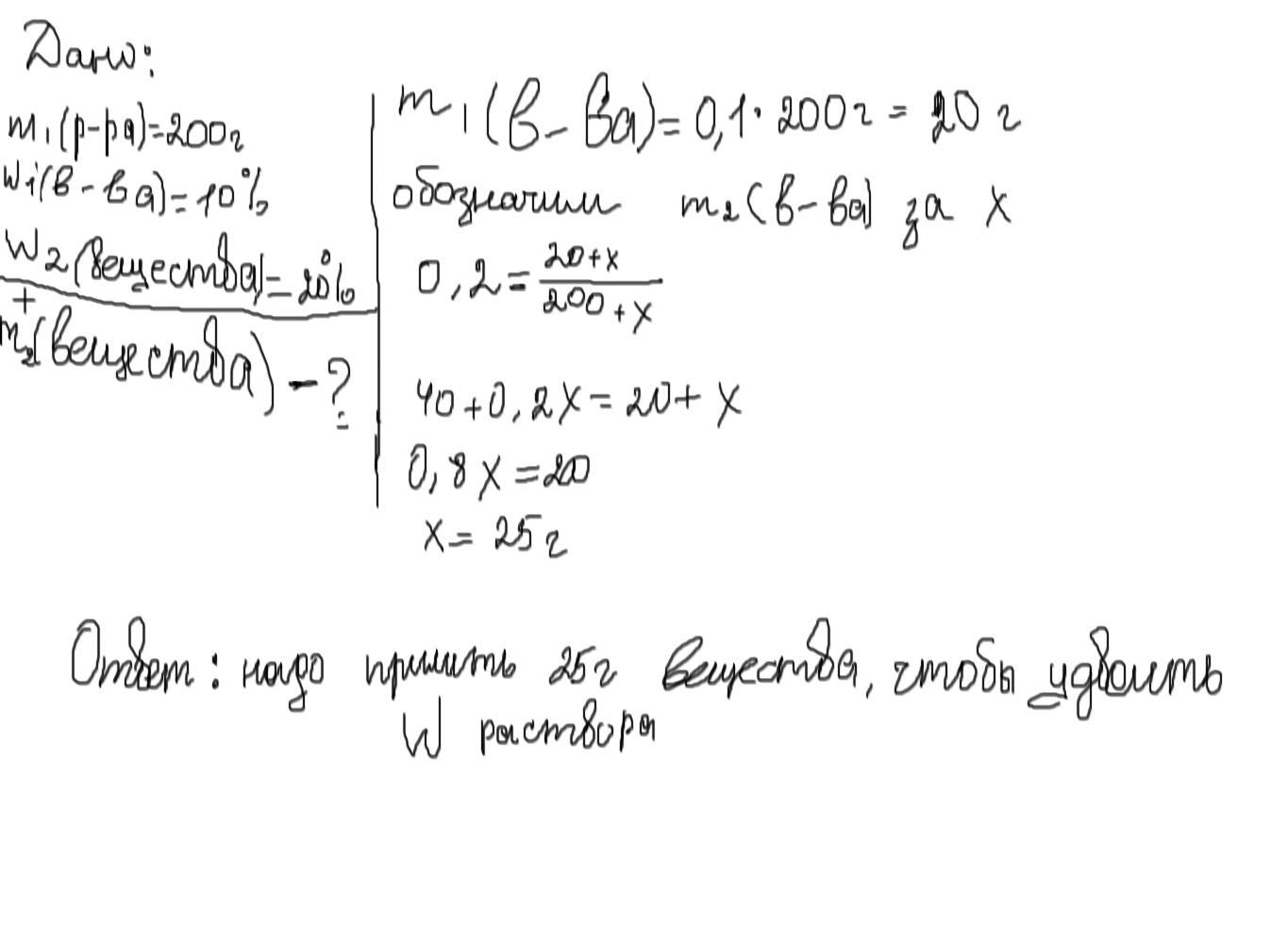
Какую массу вещества надо добавить к 200 г 10%-го раствора, чтобы удвоить массовую долю вещества?
Ответы
Автор ответа:
0
Ответ: 25 г
Проверим: добавим к 20 г + 25 г = 45 г(масса вещества в полученном растворе)
200+25=225 (г) полученная масса раствора
(45\225)*100 = 20%
Значит, задача решена правильно
Приложения:
Автор ответа:
1
Ответ: 25 г
Дано:
m₁(p-pa) = 200 г
ω₁ = 10% или 0,1
ω₂ = 20% или 0,2
Найти:
m₂(в-ва) - ?
Объяснение:
Примем массу в-ва, которую необходимо добавить за х г, тогда
0,2 = [(200 г*0,1)+х г]/(200 г + х г)
40+0,2х = 20 + х
0,8х=20
х=25
Ответ: 25 г
BabySanchez:
не могли бы вы помочь с заданиями ?
Похожие вопросы
Предмет: Другие предметы,
автор: natalyashutrov
Предмет: Английский язык,
автор: shadow19
Предмет: Английский язык,
автор: ilyushinav
Предмет: Математика,
автор: cristime
Предмет: Математика,
автор: Кашакмур